3. Shallow Neural Networks
3.1 Neural Network Example
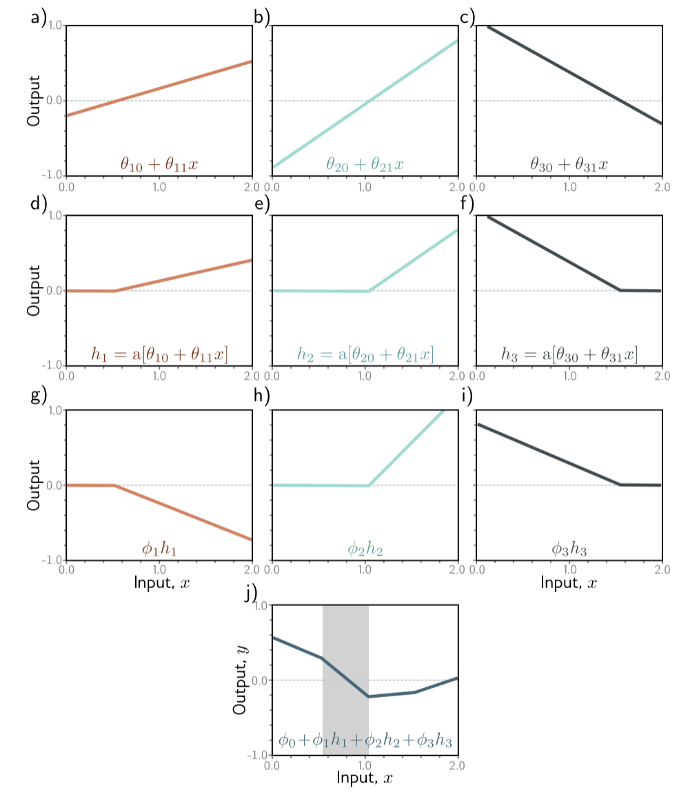
浅层神经网络定义一个函数 $y = f[\phi, x]$,其中 $x$ 和 $y$ 分别是多元输入和多元输出,$a(\cdot)$ 表示激活函数(activation function),$\phi$ 表示十个参数的集合:
$$
{ \phi_0, \phi_1, \phi_2, \phi_3, \theta_{10}, \theta_{11}, \theta_{20}, \theta_{21}, \theta_{30}, \theta_{31} }
$$
定义如下函数:
$$
f[x, \phi] = \phi_0 + \phi_1 a[\theta_{10} + \theta_{11}x] + \phi_2 a[\theta_{20} + \theta_{21}x] + \phi_3 a[\theta_{30} + \theta_{31}x]
$$
计算过程分为三步:
计算三个线性函数:
$$
\theta_{10} + \theta_{11}x,\quad \theta_{20} + \theta_{21}x,\quad \theta_{30} + \theta_{31}x
$$将这三个结果传入激活函数 $a(\cdot)$
将三个激活后的结果与 $\phi_i$ 加权相加得到最终输出
激活函数定义
最常用的激活函数是 ReLU:
$$
a[z] = \text{ReLU}(z) =
\begin{cases}
0, & z < 0 \\
z, & z \ge 0
\end{cases}
$$

3.1.1 Neural Network Intuition
为了让上述函数更加容易理解,我们定义中间变量:
$$
h_1 = a[\theta_{10} + \theta_{11}x] \\
h_2 = a[\theta_{20} + \theta_{21}x] \\
h_3 = a[\theta_{30} + \theta_{31}x]
$$
我们将 $h_1, h_2, h_3$ 称为隐藏单元(hidden units),则最终输出为:
$$
y = \phi_0 + \phi_1 h_1 + \phi_2 h_2 + \phi_3 h_3
$$
函数图像过程:

- 灰色区域内,只有节点1和节点3发挥作用,我们称这两个节点是活跃的,因为节点2为0,不做任何贡献(称为不活跃)。
- 三个隐藏单元将函数分为了四个区域(每个区域斜率不同),但是这四个区域中只有三个是相互独立的。
我们最后得到的浅层神经网络结构如下图:

- 第一列称为输入层
- 第二列称为隐藏层
- 第三列称为输出层
Universal approximation theorem
通过上面我们可以知道,D个隐藏节点会生成D+1个区域。因此,我们可以通过添加隐藏节点的数量,分成任意大小、精度的区域,理论上能够完全模拟出任意一个函数。